We are happy to announce that torch v0.9.0 is now on CRAN. This version adds support for ARM systems running macOS, and brings significant performance improvements. This release also includes many smaller bug fixes and features. The full changelog can be found
here
.
Performance improvements#
torch for R uses LibTorch as its backend. This is the same library that powers PyTorch – meaning that we should see very similar performance when
comparing programs.
However, torch has a very different design, compared to other machine learning libraries wrapping C++ code bases (e.g’, xgboost). There, the overhead is insignificant because there’s only a few R function calls before we start training the model; the whole training then happens without ever leaving C++. In torch, C++ functions are wrapped at the operation level. And since a model consists of multiple calls to operators, this can render the R function call overhead more substantial.
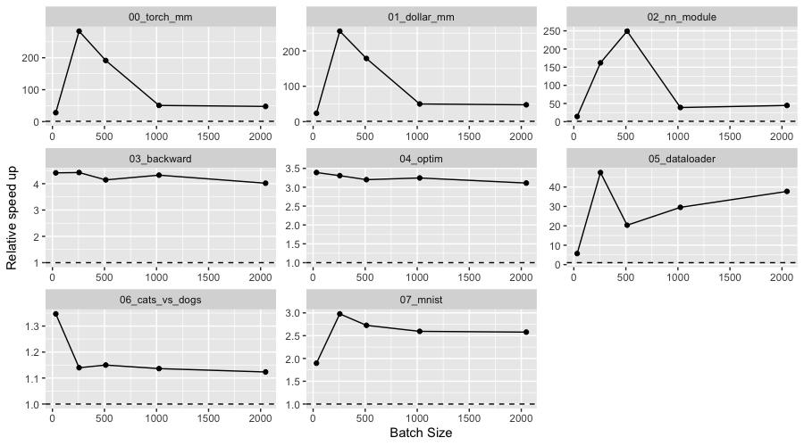
We have established a set of benchmarks, each trying to identify performance bottlenecks in specific torch features. In some of the benchmarks we were able to make the new version up to 250x faster than the last CRAN version. In Figure @ref(fig:cuda) we can see the relative performance of torch v0.9.0 and torch v0.8.1 in each of the benchmarks running on the CUDA device:
The main source of performance improvements on the GPU is due to better memory
management, by avoiding unnecessary calls to the R garbage collector. See more details in
the
‘Memory management’ article
in the torch documentation.
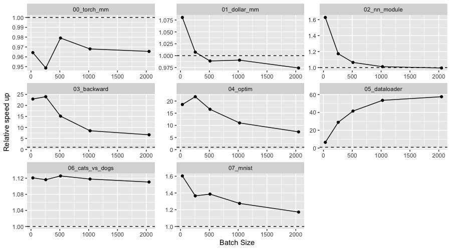
On the CPU device we have less expressive results, even though some of the benchmarks are 25x faster with v0.9.0. On CPU, the main bottleneck for performance that has been solved is the use of a new thread for each backward call. We now use a thread pool, making the backward and optim benchmarks almost 25x faster for some batch sizes.
The benchmark code is fully available for
reproducibility
. Although this release brings
significant improvements in torch for R performance, we will continue working on this topic, and hope to further improve results in the next releases.
Support for Apple Silicon#
torch v0.9.0 can now run natively on devices equipped with Apple Silicon. When
installing torch from a ARM R build, torch will automatically download the pre-built
LibTorch binaries that target this platform.
Additionally you can now run torch operations on your Mac GPU. This feature is
implemented in LibTorch through the
Metal Performance Shaders API
, meaning that it
supports both Mac devices equipped with AMD GPU’s and those with Apple Silicon chips. So far, it
has only been tested on Apple Silicon devices. Don’t hesitate to open an issue if you
have problems testing this feature.
In order to use the macOS GPU, you need to place tensors on the MPS device. Then, operations on those tensors will happen on the GPU. For example:
|
|
If you are using nn_modules you also need to move the module to the MPS device,
using the $to(device="mps") method.
Note that this feature is in
beta
as
of this blog post, and you might find operations that are not yet implemented on the
GPU. In this case, you might need to set the environment variable PYTORCH_ENABLE_MPS_FALLBACK=1, so torch automatically uses the CPU as a fallback for
that operation.
Other#
Many other small changes have been added in this release, including:
- Update to LibTorch v1.12.1
- Added
torch_serialize()to allow creating a raw vector fromtorchobjects. torch_movedim()and$movedim()are now both 1-based indexed.
Read the full changelog available here .

